【公办】成都工贸职业技术学院2026年高职单招简章(招生专业计划及历年单招分数线)-55体育
作者: 钟老师来源:卫校之家时间:2026-01-29 15:58次
摘要:成都工贸职业技术学院是一所经四川省人民政府批准、由成都市人民政府举办、四川省教育厅主管的全日制普通公办高等职业院校。 学校自建校以来,坚持德能并重、工学一体、知行合一、品
成都工贸职业技术学院是一所经四川省人民政府批准、由成都市人民政府举办、四川省教育厅主管的全日制普通公办高等职业院校。
学校自建校以来,坚持“德能并重、工学一体、知行合一、品质就业、助推产业”的办学思路,践行“全面服务地方、引领区域发展”的办学理念,秉承“无私奉献、精益求精、追求卓越”的工匠精神,着力培养高素质新时代产业工匠。
学校高度重视学生综合素质能力的培养,结合成都市产业结构特点,与各产业生态圈、重点产业链密切联系,挖掘、统筹各类就业资源,通过校企合作组建订单班、学徒制班等,为毕业生搭建就业平台。毕业学生以“适应岗位快、综合素质高、动手能力强、发展后劲足”的特点深受用人单位欢迎和好评。近年来,我校毕业生就业率达97%以上,就业主要集中在成都地区,占比超80%,绝大部分学生都在专业相关领域就业。
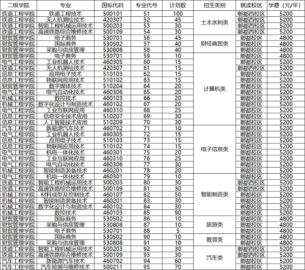
2026年高职单招普高类招生计划
招生代码:5660 计划数:870

2026年高职单招中职类招生计划
招生代码:5660 计划数:1220

2026年高职单招中外合作办学项目招生计划

2025年高职单招各类别录取分数线
普高类 317
中职类——交通技术与服务类 285
中职类——医药类 273
中职类——财经商贸类 261
中职类——汽车类 255
中职类——计算机类 252
中职类——护理类 251
中职类——智能制造类 231
中职类——电子信息类 227
中职类——土木水利类 217
中外合作办学——普高类 288
中外合作办学——教育类 275
中外合作办学——计算机类 216
中外合作办学——智能制造类 209
中外合作办学——电子信息类 199
26年单招备考正在关键时期,凡是有担心自己考不上,想考好大学好专业;担心自己毕业找不到满意工作的同学或家长,均可联系55体育,我们有网课、真题、模拟试卷、线下考前冲刺帮你考上理想大学。联系热线:13348832372(钟老师)!
学校自建校以来,坚持“德能并重、工学一体、知行合一、品质就业、助推产业”的办学思路,践行“全面服务地方、引领区域发展”的办学理念,秉承“无私奉献、精益求精、追求卓越”的工匠精神,着力培养高素质新时代产业工匠。
学校高度重视学生综合素质能力的培养,结合成都市产业结构特点,与各产业生态圈、重点产业链密切联系,挖掘、统筹各类就业资源,通过校企合作组建订单班、学徒制班等,为毕业生搭建就业平台。毕业学生以“适应岗位快、综合素质高、动手能力强、发展后劲足”的特点深受用人单位欢迎和好评。近年来,我校毕业生就业率达97%以上,就业主要集中在成都地区,占比超80%,绝大部分学生都在专业相关领域就业。
2026年高职单招普高类招生计划
招生代码:5660 计划数:870

2026年高职单招中职类招生计划
招生代码:5660 计划数:1220

2026年高职单招中外合作办学项目招生计划

2025年高职单招各类别录取分数线
普高类 317
中职类——交通技术与服务类 285
中职类——医药类 273
中职类——财经商贸类 261
中职类——汽车类 255
中职类——计算机类 252
中职类——护理类 251
中职类——智能制造类 231
中职类——电子信息类 227
中职类——土木水利类 217
中外合作办学——普高类 288
中外合作办学——教育类 275
中外合作办学——计算机类 216
中外合作办学——智能制造类 209
中外合作办学——电子信息类 199
26年单招备考正在关键时期,凡是有担心自己考不上,想考好大学好专业;担心自己毕业找不到满意工作的同学或家长,均可联系55体育,我们有网课、真题、模拟试卷、线下考前冲刺帮你考上理想大学。联系热线:13348832372(钟老师)!
关键词:【,公办,】,成都,工贸,职业,技术,学院,2026年,
- 相关文章
- 【公办】内江职业技术学院2026年高职单招简章(01-29
- 【单招职业本科】四川工程职业技术大学2026年高01-29
- 【公办】乐山职业技术学院2026年高职单招招生专01-29
- 【双高院校】成都农业科技职业学院2026年高职单01-27
- 【双高院校】成都职业技术学院2026年高职单招招01-27
- 成都圣亚单招培训学校,成都圣亚技工学校是公01-25
- 【公办】雅安职业技术学院2026年单独招生专业计01-23
- 【公办】内江卫生与健康职业学院2026年高职单招01-23
- 【公办】达州中医药职业学院2026年单招招生专业01-23
- 【公办】达州职业技术学院2026年高职单招招生简01-23
- 单招公办院校成都01-22
- 四川中职单招成都公办大专推荐01-21
推荐院校
-
佛山市南海区卫生职业
关注人数:47177人
-
陆军军医大学(第三军
关注人数:22218人
-
广东省江门中医药学校
关注人数:18855人
-
四川省卫生学校
关注人数:13835人
-
吉林医药学院
关注人数:12667人











